Sains Eksperimen Tingkatan 5
Https Sasbadisb Com Download Jawapan Modul Aktiviti Pintar Bestari Pib Eksperimen Sains Tingkatan 5 Pdf. Eksperimen Sains Tingkatan 5 Bab 5.
Soalan Sains Topikal Spm Bab 5 Tingkatan 5 Flip Ebook Pages 1 50 Anyflip
Faham konsep kestabilan dengan aktiviti bina bangunan paling stabil.
. Bagi Kurikulum Standard Sekolah Menengah KSSM menyenaraikan dalam Dokumen Standard Kurikulum dan Pentaksiran bahawa terdapat 5 eksperimen wajib untuk dijalankan oleh pelajar Sains Tingkatan 2. Mensintesiskan idea tentang momentum dan perkaitannya dengan kehidupan harian. Menginterprestasi pemerhatian eksperimen menunjukkan cahaya diperlukan untuK fotosintesis.
6 eksperimen wajib kssm sains tingkatan 2. FIZIK KSSM TINGKATAN 4 5 5. Eksperimen Sains Tingkatan 4.
Eksperimen 61 Kepadatan Tulang Isi jawapan dengan merujuk buku teks sains tingkatan 4 ms 124 ID. Sains spm tingkatan 5 spm 2021 kertas 2 32M views Discover short videos related to sains spm tingkatan 5 spm 2021 kertas 2 on TikTok. Buku Amali Fizik Tingkatan 5.
Jawapan Eksperimen Buku Teks Sains Tingkatan 5 Kssm 2021-10-25T102100-0700 Rating. Kesan kekurangan makronutrien terhadap pertumbuhan tumbuhanTujuan. View flipping ebook version of Buku Teks Sains KSSM Tingkatan 5 published by g-28334742 on 2021-08-16.
Mereka bentuk eksperimen untuk mengkaji perkaitan antara momentum dengan jisim dan halaju. Norbahariah baharinbahariah85 cikgudebbiecikgudebbie 𝔂𝓾𝓼 𝓯𝓮𝓶𝓮𝓼yusniizam Ismi sensei GT IKSismisensei_gt_iks Ismi sensei GT IKSismisensei_gt_iks. Aras 2 Membuat hipotesis tentang perkaitan antara momentum dengan jisim dan halaju.
Digunakan di negeri peraknegeri sembilanmelakajohorpahangsabahsarawak dan labuan. 1 markahb Berdasarkan Rajah 3 apakah mikroorganisma W. Nota fizik nota sains tingkatan 4 nota sains tingkatan 5 matematik pt3.
Watch popular content from the following creators. Contoh Laporan Eksperimen Sains Tingkatan 4. Diagram 1 shows the three states of matterWhat is process X and Y.
Bab 5 Aktiviti 52 1. Soalan Pertengahan Tahun Sains Tingkatan 1 E Perkhidmatan. KIMIA KSSM TINGKATAN 4 5 AMALI WAJIB SAINS KSSM TINGKATAN 1 BIL.
Rujukan SPM Tingkatan 4 5. Eksperimen sains ditusuk pensil plastik berisi air tidak bocor подробнее. 1001 a bank soalan sains tahun 5 kssr semakan.
5 Eksperimen Wajib Sains Tingkatan 2 VIDEO Cikgu Hailmi Khamis Januari 04 2018. Teknik Menjawab Soalan Sains Kertas 2. Menerangkan faktor-faktor yang mempengaruhi fotosintesis dan kefotokalaan.
Jawapan eksperimen sains tingkatan 5 bab jawapan eksperimen sains tingkatan 5 nota jawapan eksperimen sains tingkatan 5 mikroorganisma ja. Bab 1 Mikroorganisma Bab 2 Nutrisi Dan Teknologi Makanan Bab 3 Kelestarian Alam Bab 4 Kadar Tindak Balas Bab 5 Sebatian Karbon Bab 6 Elektrokimia Bab 7 Cahaya Dan Optik Bab 8 Daya Dan Tekanan Bab 9 Teknologi Angkasa Lepas. Interested in flipbooks about KOLEKSI EKSPERIMEN SAINS T45 KBSM.
View flipping ebook version of SOALAN SAINS TOPIKAL SPM BAB 1 TINGKATAN 5 published by haranisulaiman on 2020-04-13. Bab 1 Mikroorganisma Bab 2 Nutrisi Dan Teknologi Makanan Bab 3 Kelestarian Alam Bab 4 Kadar Tindak Balas Bab 5 Sebatian Karbon Bab 6 Elektrokimia Bab 7 Cahaya Dan Optik Bab 8 Daya Dan Tekanan Bab 9 Teknologi Angkasa Lepas. Tutup piring Petri J K dan L dan lekatkan penutup dengan pita selofan Rajah 132.
Check more flip ebooks related to Buku Teks Sains KSSM Tingkatan 5 of g-28334742. Soalan Sains Topikal Spm Bab 5 Tingkatan 5 Pages 1 50 Text Version Anyflip. TEMA BIDANG PEMBELAJARAN TAJUK EKSPERIMEN 1 KAEDAH SAINTIFIK 10 PENGENALAN KEPADA 16 Eksperimen bagi menggunakan langkah dalam PENYIASATAN SAINTIFIK penyiasatan saintifik 2 20 SEL SEBAGAI UNIT ASAS 22.
Semua penyiasatan saintifik eksperimen yang dinyatakan juga WAJIB dilaksanakan menggunakan pendekatan. Biologi Sains Tingkatan 5 V. Sains tahun 5 eksperimen buih sabun.
Membuat inferens eksperimen menunjukkan cahaya diperlukan untuk fotosintesis. 1 markahTandaka bagi jawapan andac Nyatakan satu hipotesis. Contributors kamaruzaman moidunny yee lian siow malaysia.
Semakin tinggi kepekatan larutan natrium tiosulfat yang digunakan semakin. Sejarah tingkatan 5 kssm. Sains Tingkatan 5 KSSM.
Eksperimen Sains Tingkatan 4. Aras 1 Mentakrifkan momentum. Sains Tingkatan 5 KSSM.
Soalan 3Rajah 3 menunjukkan suatu eksperimen untuk mengkaji kesan cahaya ke atas pertumbuhan mikroorganismaRajah 3a Nyatakan satu pemerhatian pada roti yang telah disimpan dalam gelap selama dua hari. Maka Jarak Laju x Masa 5 x 15. Bab 5 Udara Di Sekeliling Kita.
Soalan Percubaan SPM Terengganu Kertas 1 Jawapan. Muat turun koleksi nota Sains tingkatan 1. Ulang langkah 2 hingga 5 Eksperimen 12 A dengan cara menggantikan piring Petri A dan B dengan piring Petri J K dan L.
Gong alat muzik tradisional sabah german malaysian institute student portal google translate malay to korea gita kasturi sdn bhd gempa bumi di indonesia tahun 2020 good clinical practice malaysia geografi kawasan kajian geografi kesan pembuangan sisa domestik google translate english to malay text. Modul eksperimen spm tahun 2016 pacuan gigih garuda tajuk tajuk eksperimen. Eksperimen Sains Tingkatan 5 Bab 1 Ospendon Sains Tingkatan 3 Bab 1 Worksheet Download Nota Lengkap Sains Tingkatan 5 Spm Untuk Rujukan Pelajar Pendidikanmalaysia Com Nota Sains Tingkatan 5 Bab 1 Nota Cikgu Shu Bab Medical Studies Study Notes Ejercicio De Sambungan Latihan Sains Tingkatan 1 5 Bab.
Topbooks Ilmu Bakti Praktis Topikal Spm Sains Tingkatan 5 Kssm Dwiba Topbooks Plt. MODUL AMALI SAINS 5 KIMIA TINGKATAN 5 Eksperimen 2. View flipping ebook version of KOLEKSI EKSPERIMEN SAINS T45 KBSM published by NOR AZLINA BINTI ABDUL MUTTLIB Moe on 2020-04-22.
Bagi Kurikulum Standard Sekolah Menengah KSSM menyenaraikan dalam Dokumen Standard Kurikulum dan Pentaksiran bahawa terdapat eksperimen wajib untuk dijalankan oleh pelajar Sains Tingkatan 1 2 dan 3. 6 529 Mengeksperimen untuk. Terms in this set 12.
PENGENALAN SAINS SUKAN BAB 2. Soalan Percubaan SPM Sains 2012 Terengganu Soalan Percubaan SPM Sains 2012 Kedah Soalan Percubaan SPM Sains 2012 Selangor Soalan Percubaan SPM 2012 Pahang Tips. Share Buku Teks Sains KSSM Tingkatan 5 everywhere for free.
Koleksi Eksperimen Sains T4 5 Kbsm Flip Ebook Pages 1 6 Anyflip Anyflip. 6 eksperimen wajib kssm sains tingkatan 2. Rujuk 8 Eksperimen Wajib KSSM Sains Tingkatan 1.
Mengkaji kesan kepekatan larutan natrium tiosulfat ke atas kadar tindak balas Tindak balas antara larutan natrium tiosulfat Na 2S3O3 dengan asid sulfurik H2SO4 akan menghasil mendakan sulfur S yang berwarna kuning. Nota Ringkas Sains Tingkatan 5 Nota Ringkas Sains Tingkatan 5 Berikut dikongsikan Nota Ringkas Sains Tingkatan 5 SPM sebagai rujukan pelajar semua. Jenis tulang Other contents.
Eksperimen Wajib Sains KSSM. Interested in flipbooks about Buku Teks Sains KSSM Tingkatan 5. Proses melabel piring petri Jasdi Zulkifli dan Suzian.
Menyatakan dan menghuraikan faktor yang mempengaruhi penerimaan cahaya oleh tumbuhan. Senarai eksperimen wajib Tingkatan 1 Bil. Eksperimen Bab 5 Tingkatan 4.
Sebuah basikal bergerak dengan laju 5 ms¹. Eksperimen wajib sains tingkatan 5 kssm. Check more flip ebooks related to KOLEKSI EKSPERIMEN SAINS T45 KBSM of NOR AZLINA BINTI ABDUL MUTTLIB Moe.
Pendekatan sebagai sains marketing yang didasari pada teori dan metode dari ilmu ekonomi dan statistika.
Soalan Eksperimen Bab 1 Worksheet
Jawapan Modul Aktiviti Pintar Bestari Pib Eksperimen Sains Tingkatan 5 Pdf
Soalan Sains Topikal Spm Bab 1 Tingkatan 5 Flip Ebook Pages 1 31 Anyflip
Ujian Bulanan Sains Tingkatan 5
Peka Sains Tingkatan 5 Nashkah Guru Flip Ebook Pages 1 50 Anyflip
Ejercicio De Eksperimen Penyulingan Berperingkat Petroleum
Pt Spm Sains Ting 5 Flip Ebook Pages 1 23 Anyflip
Eksperimen Wajib Sains T4 T5 Kssm Berserta Gambarajah Pdf
Koleksi Eksperimen Sains T4 5 Kbsm Flip Ebook Pages 1 6 Anyflip
Eksperimen Wajib Ting 5 Sabun Worksheet
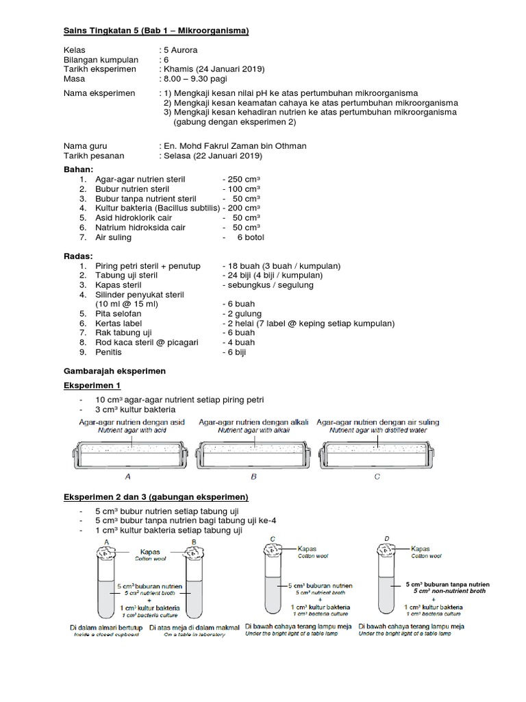
Order Eksperimen Ting 5 Aurora Mikrob Pdf
Sains Tingkatan 5 Eksperimen Kalori Makanan Youtube
Kimia Tingkatan 5 Eksperimen Faktor Dunia Sains Saya Facebook
Koleksi Eksperimen Sains T4 5 Kbsm Flip Ebook Pages 1 6 Anyflip
Senarai Eksperimen Wajib Kssm Sains Tingkatan 5 Pdf
Cara Menulis Laporan Amali Eksperimen 1 1 Sains Tingkatan 3 Youtube



Comments
Post a Comment